bộ sách gồm 2 quyển ETS 2021 LC và RC ( sách gia công + bìa mềm keo gáy khổ giấy A4)

Dành cho các bạn vẫn chưa biết về ETS thì ETS viết tắt của Educational Testing Service (Viện Khảo thí giáo dục Hoa Kỳ) là tổ chức giáo dục phi lợi nhuận hoạt động vì sự tiến bộ và công bằng giáo dục thông qua việc nghiên cứu và biên soạn các chương trình kiểm tra, đánh giá ngôn ngữ với quy mô lớn, trong đó có các bài thi được chấp nhận rộng rãi trên toàn thế giới như TOEFL, TOEIC, GRE, SAT. Và ETS TOEIC 2021 chính là một sản phẩm của ETS được biên soạn với mục đích giúp học viên tiếp cận và làm quen với đề thi TOEIC thật.
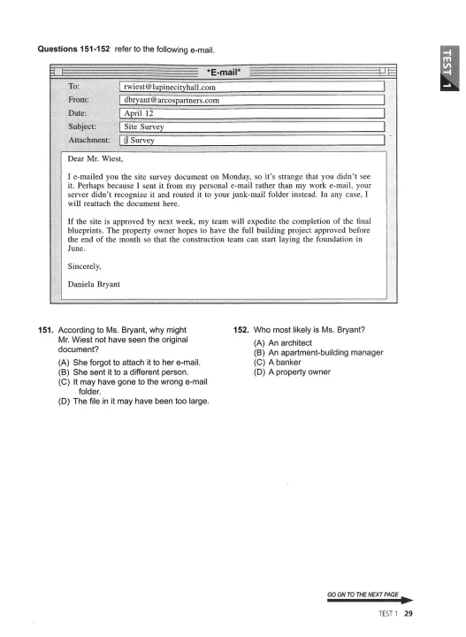
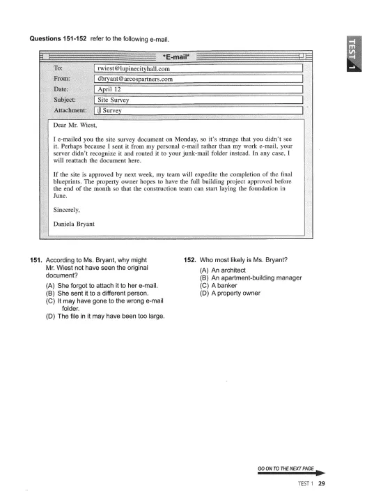
Bộ sách là tài liệu được biên soạn cực kì chi tiết, cụ thể bám sát theo cấu trúc đề thi thật. Lộ trình phù hợp với tầng cấp độ giúp các bạn dễ dàng tiếp thu và ôn luyện. Vẫn giống phiên bản ETS TOEIC 2020, bộ ETS TOIEC 2021 gồm 2 cuốn sách RC (Reading) và LC (Listening), nhưng thay vì có 10 test như ETS 2020 thì ETS 2021 mỗi cuốn bao gồm chỉ 5 test giúp bạn luyện kỹ năng nghe và đọc TOEIC hiệu quả nhất.